新型二维半导体材料Bi2O2Se因其独特的电子能带结构和晶体层状结构,在高速低功耗器件、量子输运器件、超快高敏红外光探测等方面展现出优异性能,近年来颇受科研工作者的关注。其中,在热电器件方面,n型Bi2O2Se被认为是搭配p型BiCuSeO的完美材料。然而,多晶块体Bi2O2Se因其低电导率(常温下低于1 Scm-1)而限制其热电性能的开发。传统的半导体工艺方法,如掺杂、固溶、点缺陷设计、复合等都无法显著地提升其电导率。因此,开发新的制备工艺对优化Bi2O2Se甚至其它二维材料十分必要。
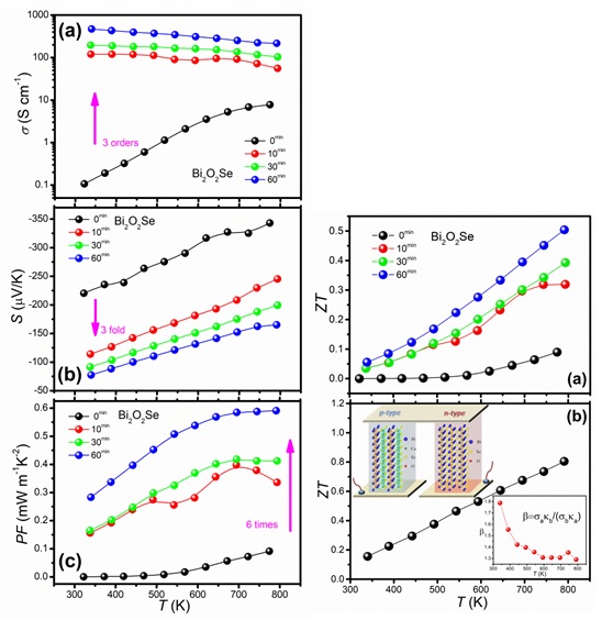
王一峰教授课题组根据二维材料的解理特性,通过家用破壁机在液相中高速剪切Bi2O2Se多晶粉末,发现所制备的纳米片状Bi2O2Se经过烧结,电导率得到显著提升(常温下最高可达到500~600 Scm-1),这主要得益于Bi2O2Se经剪切沿着Se层解理,产生大量的Se空位,并在体系内产生大量电子。热电性能也由此得到明显改善。ACS Appl. Mater. Interfaces 2019, 11, 21603−21609
之后,课题组与澳大利亚南昆士兰大学陈志刚教授课题组合作,通过元素替代结合剪切剥离的方法,进一步优化了Bi2O2Se的热电性能,其中用Te元素取代O并剪切剥离得到的Bi2O2Se材料,其热电优值接近0.7,是之前最高纪录的两倍。相关工作近期发表在Scripta Materialia 178 (2020) 376–381和Nano Energy 69 (2020) 104394。



